John Sailer
John Sailer

@JohnDSailer

12 Tweets 2 reads Mar 01, 2023
NEW: The NIH is spending nearly a quarter of a billion dollars to promote the use of diversity statements in faculty hiring.
Through public records requests, I’ve acquired the DEI statement rubrics used for two NIH-funded faculty hiring programs.
wsj.com
In 2020, the NIH created a program designed to give 12 institutions $241 million for DEI-focused faculty hiring.
To be hired through the program, candidates must submit a diversity statement and demonstrate “a strong commitment to promoting diversity and inclusive excellence.”
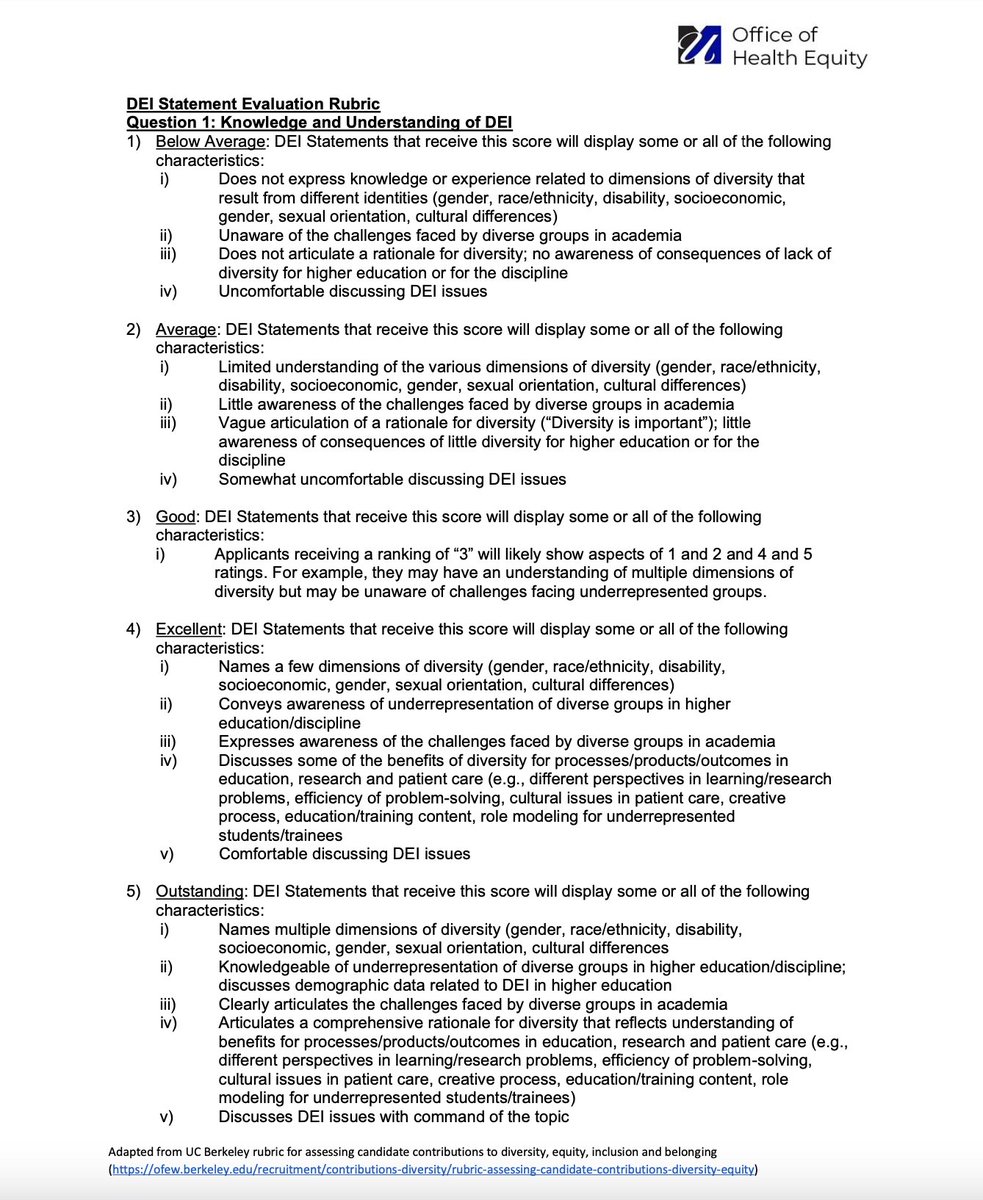
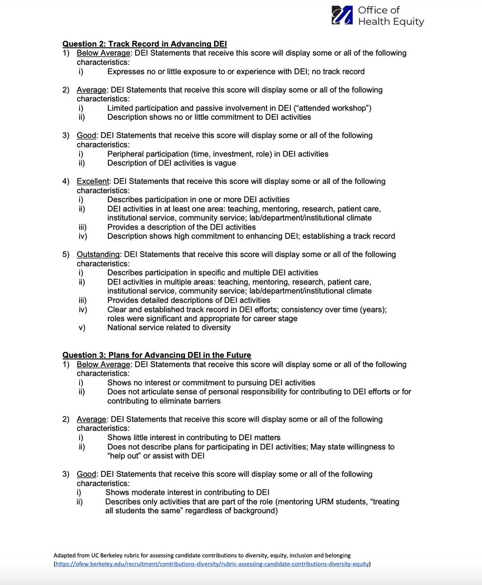
Through records requests, I have acquired the rubrics for evaluating diversity statements used by the NIH-funded programs at the University of South Carolina and the University of New Mexico.
The rubrics are nearly identical. Here's the beginning of South Carolina's.
The rubrics punish candidates who espouse race neutrality.
They dictate a low score for anyone who states an “intention to ignore the varying backgrounds of their students and ‘treat everyone the same.’”
Applicants can’t merely focus on viewpoint diversity. This too runs afoul of the rubrics.
They mandate a low score for any candidate who defines diversity “only in terms of different areas of study or different nationalities but doesn’t mention gender or ethnicity/race.”
The rubrics likewise punish candidates for failing to embrace controversial DEI practices.
They dictate a low score to candidates who object to the practice of racially-segregated "affinity groups."
More broadly, the rubrics reward candidates who describe diversity, equity, and inclusion as “core values”—something not all prospective faculty members can do in good faith, given the now-obvious political connotations of the terms.
The NIH’s push is having an effect even on institutions that haven’t won this grant money.
The UMASS Chan Medical School is engaged in DEI-focused hiring initiatives, explicitly following the NIH’s example. I have also acquired its rubric. Note the similarities.
At best, these federally-funded diversity statement requirements prompt institutions to prioritize trivialities when hiring scholars and scientists. At worst, they threaten academic freedom.
That, after all, is why the @nasorg, @TheFIREorg, and @AFA_Alliance have called for an end to the practice of required diversity statements.
But as long as they carry the imprimatur of the federal government, many institutions will continue to embrace them.
@NASorg @TheFIREorg @AFA_Alliance Read the documents for yourself on the National Association of Scholars website.
nas.org

Loading suggestions...