Fermat's Library
Fermat's Library

@fermatslibrary

6 Tweets 11 reads Jan 11, 2024
Srinivasa Ramanujan was born exactly 136 years ago.
GH Hardy once rated mathematicians on a scale of 1 to 100 for pure talent. Hardy gave himself a score of 25, his colleague Littlewood a score of 30, Hilbert a score of 80, and Ramanujan a perfect score of 100.
Below is a list of identities discovered by Ramanujan.
From Ramanujan
Ramanujan discovered the following identity in the beginning of the 20th century
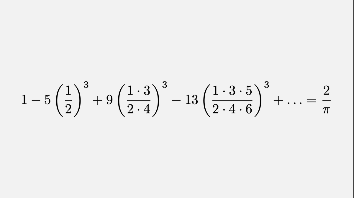
Ramanujan discovered this peculiar way to represent 1/π.
From Ramanujan
Ramanujan's most beautiful formula

Loading suggestions...