University of Agriculture Faisalabad
University of Agriculture Faisalabad

@UniversityofAg2

3 Tweets 7 reads Jul 04, 2021
Notification Ehsaas Undergraduate Scholarship Phase 2
The Vice Chancellor has been pleased to allow to notify the selected students for the award of Ehsaas Undergraduate Scholarship Phase-II (2020-21). Detail can be seen at the following link:
drive.google.com
All selected students are directed to open their bank account in any branch of Habib Bank Ltd. and to submit the following documents at this office no later than July 17, 2021 positively.
The award of above scholarships will be subject to observance of existing Scholarship Rules
DECLARATION BY AWARD-HOLDER
drive.google.com
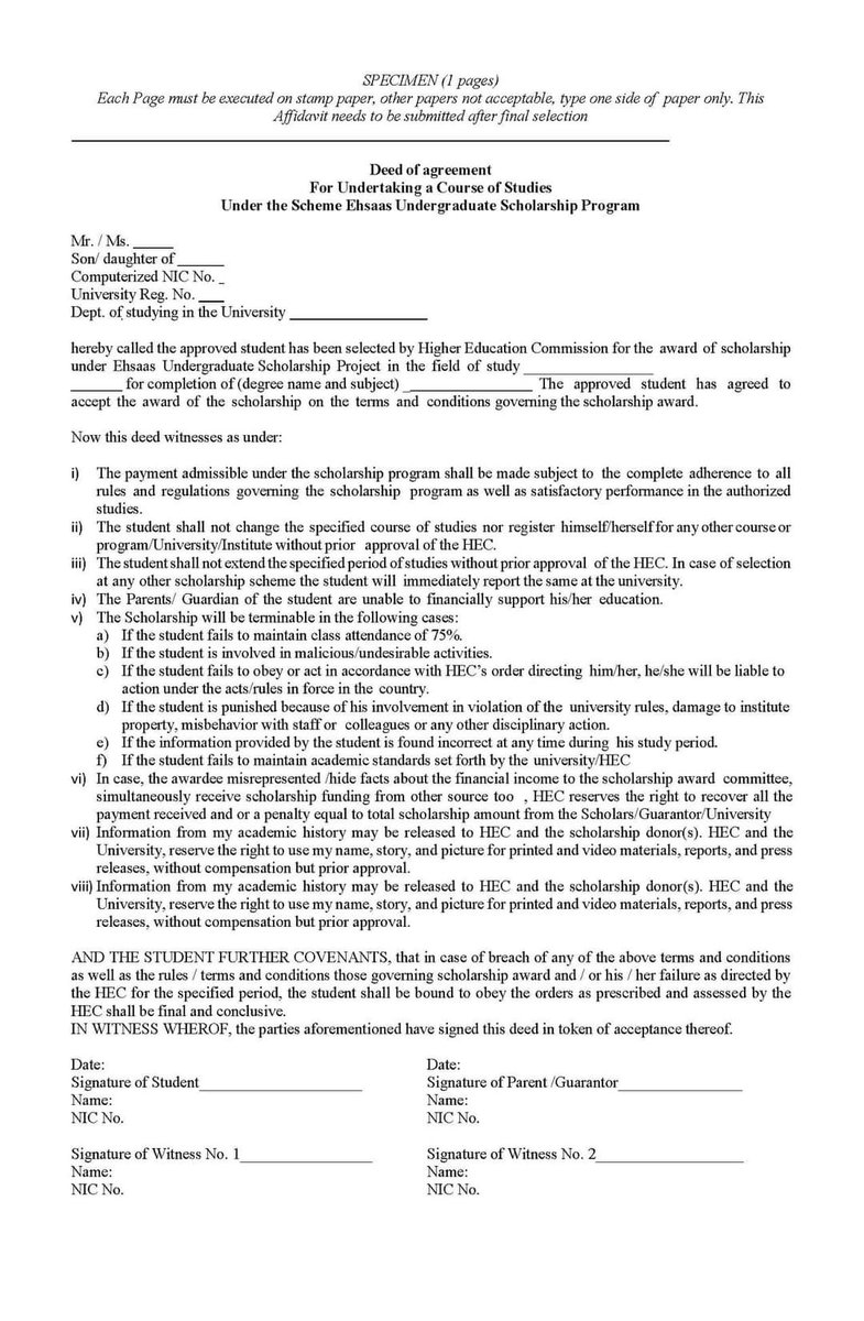
Deed Of Agreement
drive.google.com
Student Undertaking Form
drive.google.com

Loading suggestions...