GemsOfINDOLOGY
GemsOfINDOLOGY

@GemsOfINDOLOGY

17 Tweets 7 reads May 10, 2022
#Thread on Bakshali Manuscript, ca. 224–383 CE a most important and most neglected Indigenous Hindu Treatise in India's contribution to Mathematics. It is gateway to the modern Mathematics.
treasures.bodleian.ox.ac.uk
#Archaeology
1/14
Bakshali Manuscript on mathematics is older than many Greek writers. It is also a precursor to Aryabhatta's contribution to Maths.
2/14
In 1881, Bakshali Manuscript written on birchbark was found at Bakhshali near Mardan on the north-west frontier of India.
Folio 50, mention that it was scribed by a Brahmana, a prince of calculators, the son of Chajaka (चाजाका) a hindu and a great devout to #Shiva
3/14
Given that the Script is a copy of an original. The original work must date prior to 2nd Century.
Since, in India it was forbidden to write and teaching was based on memories, Original text must be far older.
The researcher agreed that Script was totally Indigenous
4/14
The Manuscript elaborates:
linear equations
Indeterminate equations of the 2nd °
Arithmetical progressions
Quadratic equations
Approximate value of √
Complex series
Problems of the type x (1-a1)(1-a2)....(1-an) = P
The computation of the fineness of gold
Mensuration
5/14
The numerals used in the Bakhshali manuscript resembles to modern greek numberals to a great extent
6/14
The scheme of exposition used is Sutram सूत्रम Udaharanam उदाहरनम् Styapanam स्त्यपनम Nyasa न्यासा Karanam कारणम Pratyanam परत्यनाम
7/14
Bakshali Manuscript Folio 14 has world's first use of "0" or "Zero" as a Placeholder dating 2-3rd Century AD
सुण्य-स्थान sunya-sthana or 'empty place' has been used several times.
8/14
#Archaeology
Negative Sign was denoted as "+" Plus sign while Positive Sign as "."
9/14
Certain operators are often abbreviated such as
for bhaga, placed after a term to indicate that it is it
divisor.
se°3 for sesam, a remainder.
mu°5 for mulam, a root, a quantity that has a root, capital,
pha°7 for "phalam", an answer.
10/14
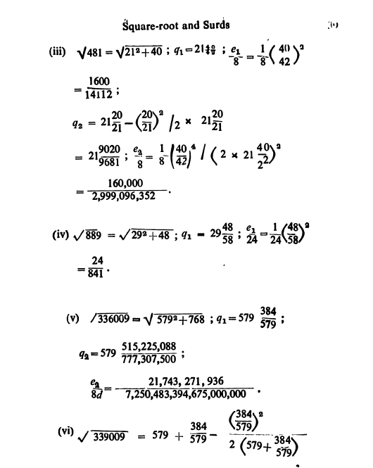
The rule for approximation and 2nd Approximation of Square root is given in the form of an equation.
11/14
The writers asserts that Indian mathematics has reached Nessel-mann's third and the last stage of development of the science of algebra long before all the other nations of the world by inventing good system of notations
12/14
Change ratios, Time Measures, Arc Measures, Money Measures, Weight Measures, Length Measures, Capacity Measures are well defined in the manuscript
13/14
Folio #33 𝐬𝐭𝐚𝐭𝐞𝐬 𝐭𝐡𝐚𝐭 𝐒𝐮𝐫𝐚𝐬 (𝐦𝐢𝐧𝐨𝐫 𝐝𝐞𝐢𝐭𝐢𝐞𝐬) 𝐝𝐰𝐞𝐥𝐥 𝐨𝐧 "𝐒𝐮𝐦𝐞𝐫𝐮".
This could mean that the original writer of Bakshali work knew "Sumerian" (c. 4500 – c. 1900 BC) or their existence.
14/14
Here are the link to the books who want to read more
ia800109.us.archive.org
archive.org
Bakshali Manuscript images are available here
personal.math.ubc.ca

Loading suggestions...