5 Tweets 28 reads Jan 03, 2024
There are 3 types of means.
But what is the difference between them?
An introduction to the arithmetic, geometric, and harmonic mean.
1️⃣ The well-known Arithmetic Mean
Calculated as the sum of the values divided by the total number of values.
- We use it when the data has the same unit.
- Outliers can heavily influence this mean.
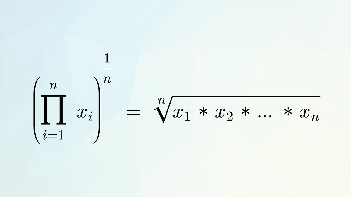
2️⃣ Geometric Mean
Calculated as the N-th root of the product of all values.
(N is the number of values)
- More appropriate for dependent values, percentages, fractions, or widely-ranging data.
- Does not accept negative or zero values
3️⃣ Harmonic Mean
Calculated as the number of values N divided by the sum of the reciprocal of the values.
- Appropriate to calculate the average rate (speed, frequency)
- Does not take rates with a negative or zero value
That's it for today.
I hope you've found this thread helpful.
Like/Retweet the first tweet below for support and follow @levikul09 for more Data Science threads.
Thanks πŸ˜‰

Loading suggestions...