𝗔ð—ĩð—Ū𝗚 𝗕ð—ŋð—Ūð—ĩ𝗚ð—Ū𝘀𝗚ð—ķ
𝗔ð—ĩð—Ū𝗚 𝗕ð—ŋð—Ūð—ĩ𝗚ð—Ū𝘀𝗚ð—ķ

@TheRudra1008

16 Tweets 14 reads Feb 23, 2024
● #Thread | Karnataka Hindu Religious Institutions & Charitable Endowments Act 2011 Vs 2024
Who is Looting Our Hindu Temples ? Who is Real Gomukha Vyaaghra ? Congress? BJP ? Or Both ?
Read Complete Thread to Understand Shocking Truths & Facts ... [1/N]
#FreeHinduTemples
These are the Major Concern Raised By BJP & Its Supporters About Controversial Karnataka HRCE Act 2024
1. Congress is Looting Hindu Temples by Texing Temples
2. Non Hindu Will Be Appointmented in Temple Committee
3. Utilization of Temples funds to Non Hindu Institutions
Asper 2024 Amendment to HRCE Act Karnataka
1. Temples which is having income more than 1 cr. should give 10% to common pool fund
2. Temples which is having income from 10L to 1 cr. should give 5% to Common Pool Fund
Do You Really Think Its An New Act introduced By Congress ?
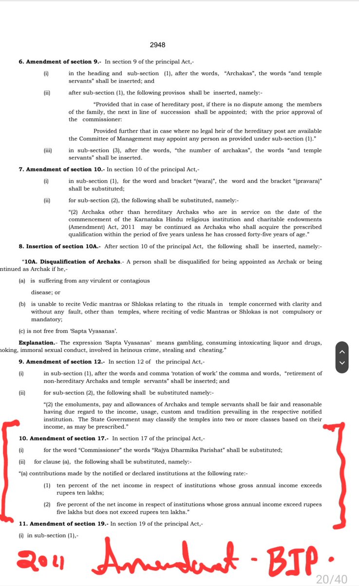
HRCE Amendment Act 2011 Brought By BJP Govt
● Temples Should Give 10% to Common Pool Whos Anual Gross Income is 50L
● Temples Should Give 5% to Common Pool Whos Anual Income is 5-10L
Above Thing is Introduced By BJP Govt led By B. S. Yediyurappa
Evidence in Attached Pic
What is Changed from 2011 to 2024 ?
Only Temples with 1Cr Income Should Give 10% Temples Bellow 1Cr Income No Need to Pay 10%
Only Temples with Income Above 10L -1Cr should Give 5%
Thus Temples Bellow 10L Income No Need to Pay Anything But in 2011 Temples With 5L also Payed 5%
Above Things Prove that Both BJP & Congress Looted Temple Funds for their Minority Appeasement !
Fund Collection from Temples is Not New
But small Temples with Bellow 10L Anual Income got relief from Paying in 2024 Due to Amendment Brought from Congress Govt .
Let's come to 2nd Point : Utilization of Temple Funds:
Asper HRCE Amendment 2024 By Congress
"Grant in aid to religious institution of notified category-C only which is less income or in needy circumstances"
But This is Alrrady Done by BJP Govt Led By B S Yediyurappa in 2011
Point No 3 : Appointment of Non Hindu in Temple Committee :
If You think Congress Introduced this in 2024 Then You are Wrong Again BJP Govt Led By B. S. Yediyurappa Introduced this. !!
" Composite institution members from both
Hindu and other religion may be appointed "
Utilization of Temple Fund to Minorities like Muslim & Christians Are Not at All New
This Year Congress Govt Decided to Use 330 Cr to Minorities
But in 2020 BJP Govt Gave 200Cr Grant to Christians & 51 Crs in 2011
All Money is Either From Hindu Temples or Tax Money of Hindus
Basavaraj Bommai said He will Bring Rule to Free Temples But,
Shockingly Recently Ex- CM Basavaraj Bommai of BJP Decided to Use Temple Fund of Srikanteshwara Temple at Nanjangud to Build Shadi Mahal, Ediga community hall etc 😀
Just Imagine the Level of Our Politicians
Minority Appeasement :
Asper Tweet Dated 11.12.2022 of Department of Minority Welfare, Govt of Karnataka
KMDC Scheme of aiding minority
communities with Loans & Subsidies to buy Rickshaw/Taxi/Goods Vehicle
Purchases is Started By BJP Govt Itself in Karnataka !!! 😅
Now This Tweet Dated 10.01.2020 of Karnataka BJP Shows How much they are Dedicated to Minority Especially Muslims
But Same Muslims Kicked their As$ in last Assembly Elections ðŸĪŠ
27 Nov 2015 Karnataka High Court Strike downs Hindu Endowments Act & Called it Un constitutional
Afte that BJP Congress JDS any Kichidi Govts Came To Power in Karnataka But No Political Parties are Intrested to Free Temples !
Its Estimated That Around 4,00,000 [ Asper PIL raised in 2022 in Supreme Court ] temples, their extensive resources, vast temple lands, gold assets, and substantial annual incomes are Controlled By State Govt
But No State or Political Parties are Intrested to Free Temples
In General Both BJP & Congress Looted Hindu Temple Funds for Minority Appeasement !
Both are "Gomukha Vyaaghras" .. No One Really Bothers About Hindus
Today BJP is Blaming Congress for HRCE Amendment 2024 But Most of the Things are Done By them in 2011, They Hide Truth !!
If Anyone Wants Proof for All Above then Visit My Telegram Channel there I Uploaded Copies of
1. HRCE Amendment -2011 By BJP
2. HRCE Amendment -2024 By Congress
Credits to @RituRathaur @MNageswarRaoIPS @anshul_aliganj
t.me

Loading suggestions...